• Предмет: Алгебра
  • Автор: caesarn1
  • Вопрос задан 2 года назад

Допоможіть з КР 1 варіант!(виділене)

Приложения:

Ответы

Ответ дал: SonMak
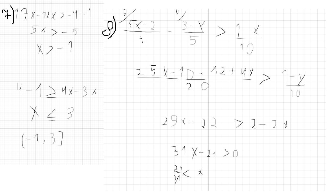
1

Ответ:1.Б;2.Г;3.Б;4.А;5.В;6.В;

7.(-1;3];

8.(24/31;∞)

9.(-2:1]

Пояснення 7, 8:фото

Пояснення 9:просто шукаємо, коли значення під корнем будуть менше 0

Приложения:

caesarn1: Дякую, а далі можеш?
SonMak: пробую
caesarn1: Дякую
SonMak: є, зробив
SonMak: якщо щось не зрозуміло, просто напиши
caesarn1: А як у тебе 8 і 9
caesarn1: Все, дякую
caesarn1: Побачив
SonMak: у другому кроці в 8, просто домножили на 20 кожну частину
Вас заинтересует