• Предмет: Алгебра
  • Автор: klintsovv
  • Вопрос задан 2 года назад

Помогите пж алгебра с ришением

Приложения:

Ответы

Ответ дал: zangardauletbai153
0

Ответ:

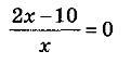
 \frac{2x - 10}{x}  = 0 \\ 2x - 10 = 0 \\ 2x = 10 \\ x = 5

Вас заинтересует