• Предмет: Математика
  • Автор: Burda1896
  • Вопрос задан 11 лет назад

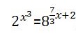
ПОМОГИТЕ ПОЖАЛУЙСТА!!! ПРИМЕР ВНУТРИ!

Приложения:

Ответы

Ответ дал: fanat2
0
решение приведено во вложении
Приложения:
Вас заинтересует