• Предмет: Математика
  • Автор: itsamprill0
  • Вопрос задан 2 года назад

Пожалуйста, объясните как решать задание на вероятность!! СРОЧНО 15б
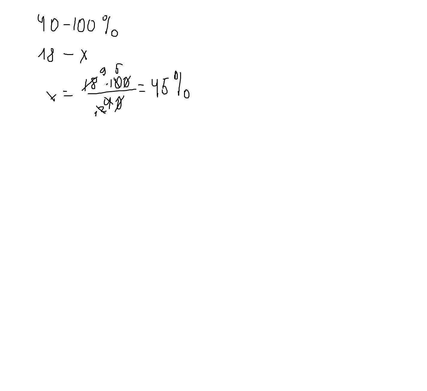
У бабушки было 40 чашек : 22 из них с красными цветами, остальные с синими. Бабушка нальет чай в рандомную кружку, найдите вероятность что это будет чашка с синими цветами

Ответы

Ответ дал: vdmy2004
0

Відповідь:

Покрокове пояснення:

Приложения:
Вас заинтересует