Ответы
Ответ дал:
1
просто все сокращается
Приложения:

s3dativ3pills:
спасибо))
Ответ дал:
1
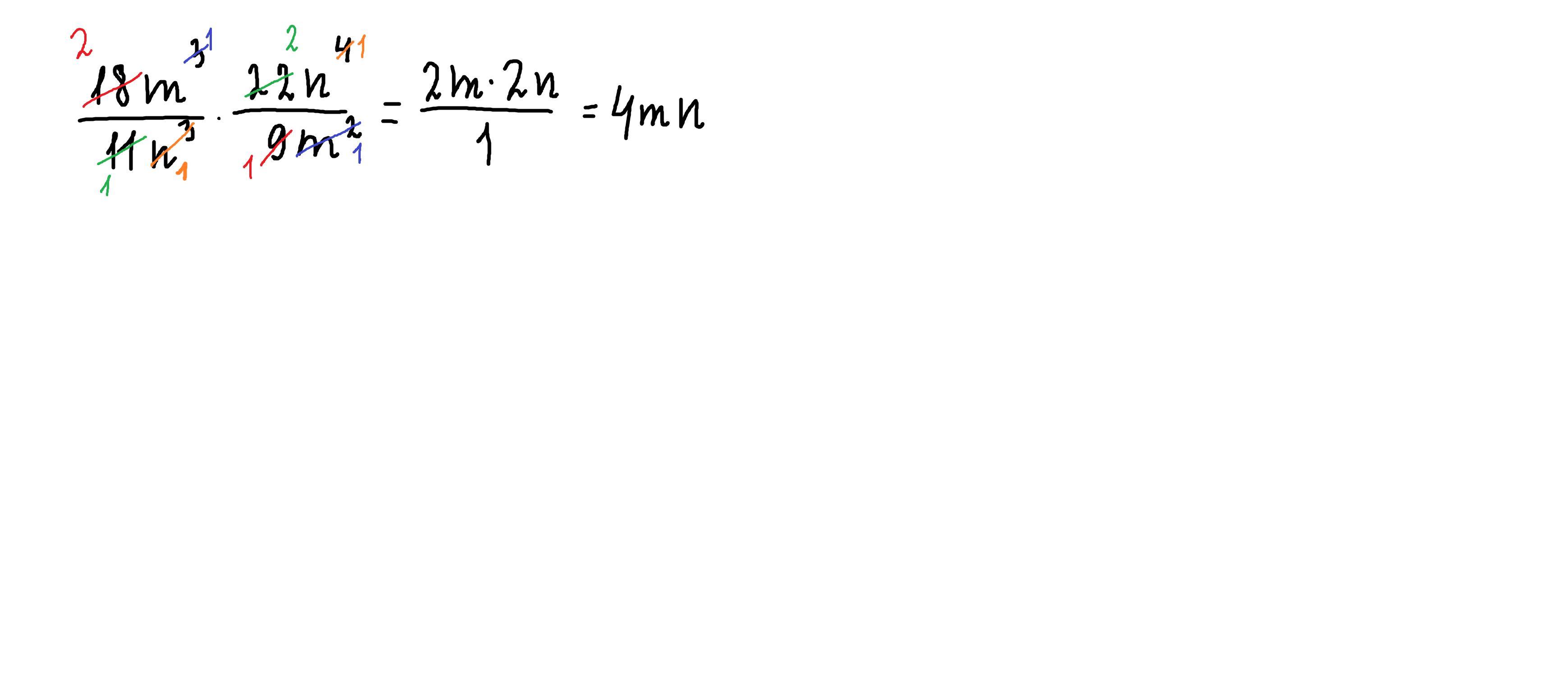
Ответ:
4mn
Объяснение:
при делении степеней с одинаковым основанием показатели вычитаются
18 и 9 сократили на 9
22 и 11 сократили на 11
Приложения:

Вас заинтересует
1 год назад
1 год назад
3 года назад
3 года назад
8 лет назад