• Предмет: Алгебра
  • Автор: daratatar10
  • Вопрос задан 2 года назад

помогите пожалуйста ​

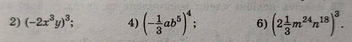
Приложения:

Ответы

Ответ дал: anastasiadolinska75
1

Ответ:

2) (-2x³y)³= (-2)³*(x³)³*y³= -8x⁹y³

4) (-⅓ab⁵)⁴= (-⅓)⁴*a⁴*(b⁵)⁴= 1/81a⁴b²⁰

6) (2⅓m²⁴n¹⁸)³= (7/3m²⁴n¹⁸)³= 343/27m⁷²n⁵⁴

Вас заинтересует