• Предмет: Информатика
  • Автор: anastasiyafomina353
  • Вопрос задан 2 года назад

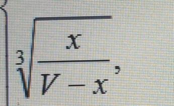
СРОЧНО! НАПИШИТЕ ФОРМУЛУ НА ПАЙТОНЕ​

Приложения:

Ответы

Ответ дал: alchetorn
0

Ответ:

(x / (V - x))**(1 / 3)

Вас заинтересует