Ответы
Ответ дал:
0
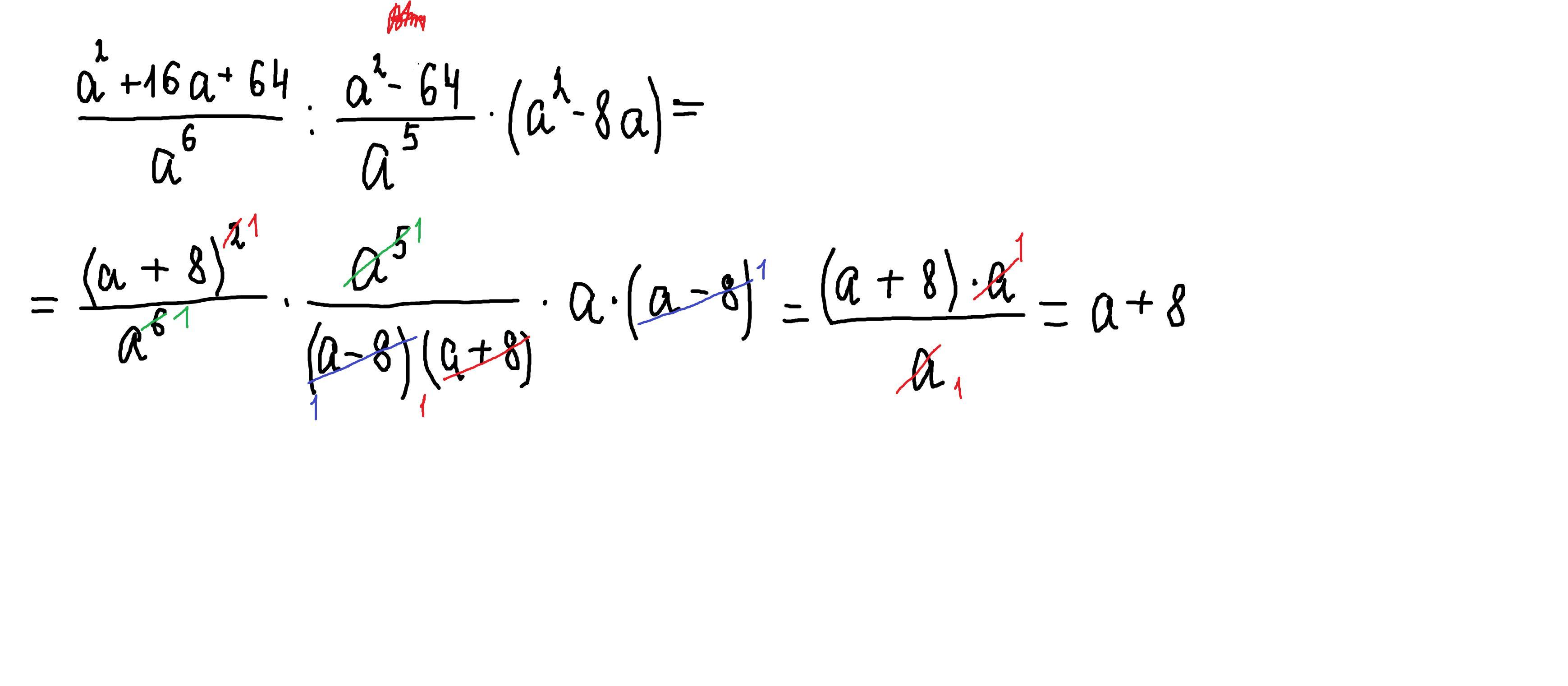
Ответ:
а+8
Объяснение:
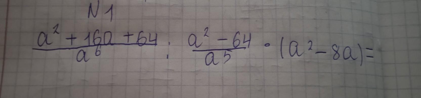
решение внизу
Приложения:

Вас заинтересует
1 год назад
1 год назад
1 год назад
1 год назад
3 года назад
8 лет назад