• Предмет: Физика
  • Автор: lina2415
  • Вопрос задан 2 года назад

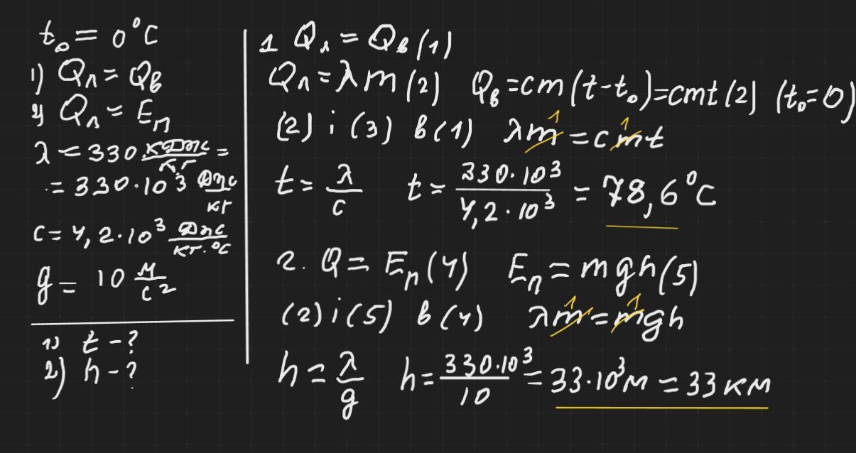
Льоду при температурі 0 °С передали певну кількість теплоти, внаслідок чого він перетворився на воду при тій же температурі.
1)До якої температури нагріється ця вода, якщо передати їй таку ж кількість теплоти?
2)На яку висоту можна підняти цю воду, затративши таку ж енергію? ​

Ответы

Ответ дал: zybkov1950
1

Відповідь: Див. додаток

Пояснення:

Приложения:

pu76396: Доброго дня, вибачте будь ласка що турбую Вас. Чи не могли б ви допомогти з фізикою( останніх три завдання) ? Будь ласка, дуже потрібна допомога
Вас заинтересует