• Предмет: Физика
  • Автор: lina2415
  • Вопрос задан 2 года назад

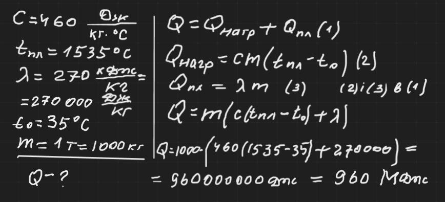
Скільки енергії необхідно для плавлення масою 1 т залізного металобрухту, якщо температура в цеху, де він знаходиться, дорівнює 35°С? ​

Ответы

Ответ дал: zybkov1950
1

Відповідь: 960 МДж

Пояснення:

Приложения:

lnazik51: допоможіть будь ласка мені із фізикою
lnazik51: буду дуже вдячний
lnazik51: плііз
Вас заинтересует