• Предмет: Алгебра
  • Автор: vilukach2020
  • Вопрос задан 2 года назад

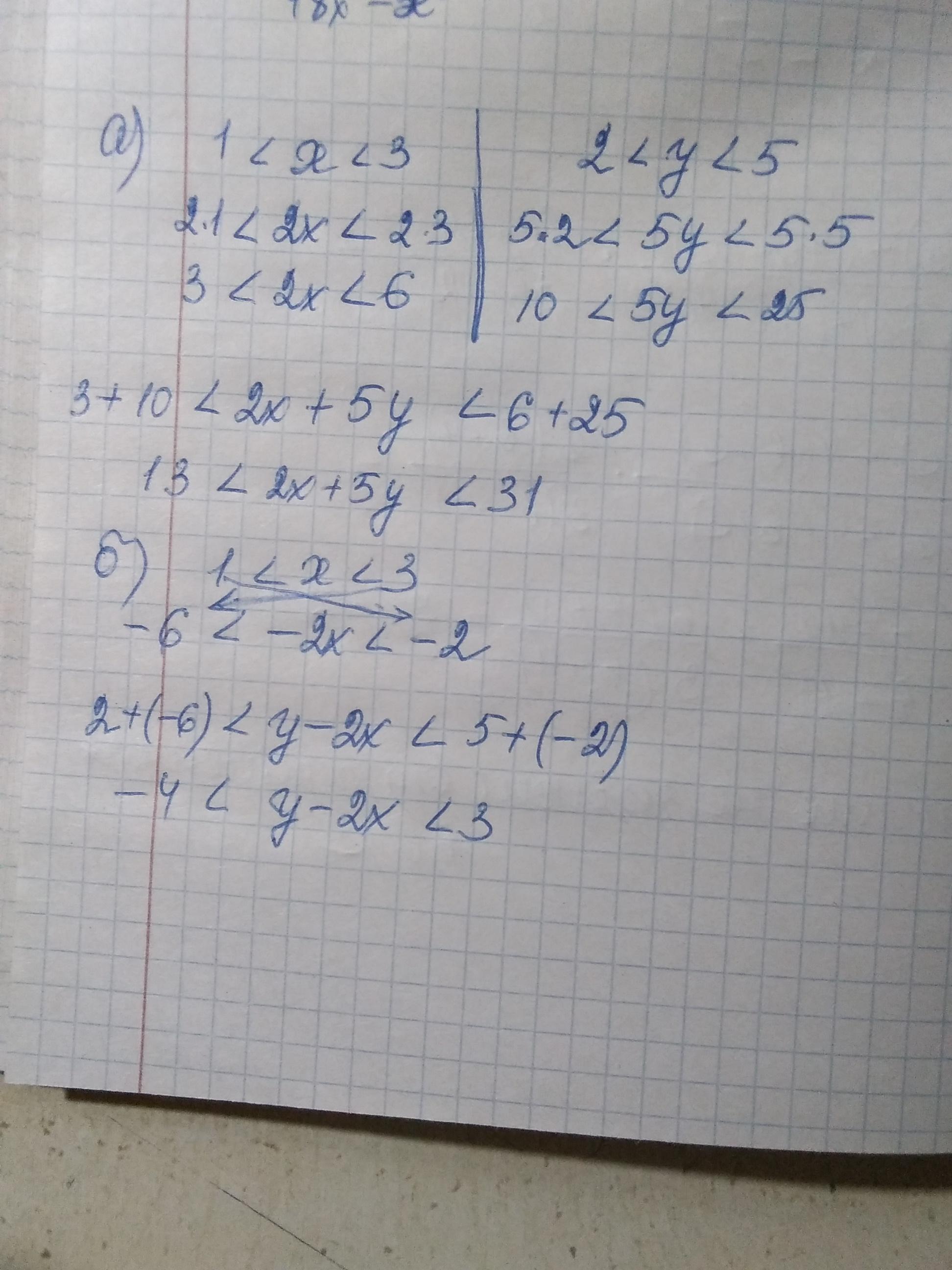
Відомо, що 1<x<3; 2<у<5. Оцінити
а) 2х+5у
в) у-2х

Приложения:

Ответы

Ответ дал: MizoriesKun
1

Смотри.........................

Приложения:
Вас заинтересует