• Предмет: Алгебра
  • Автор: sashaaazxxcc070
  • Вопрос задан 2 года назад

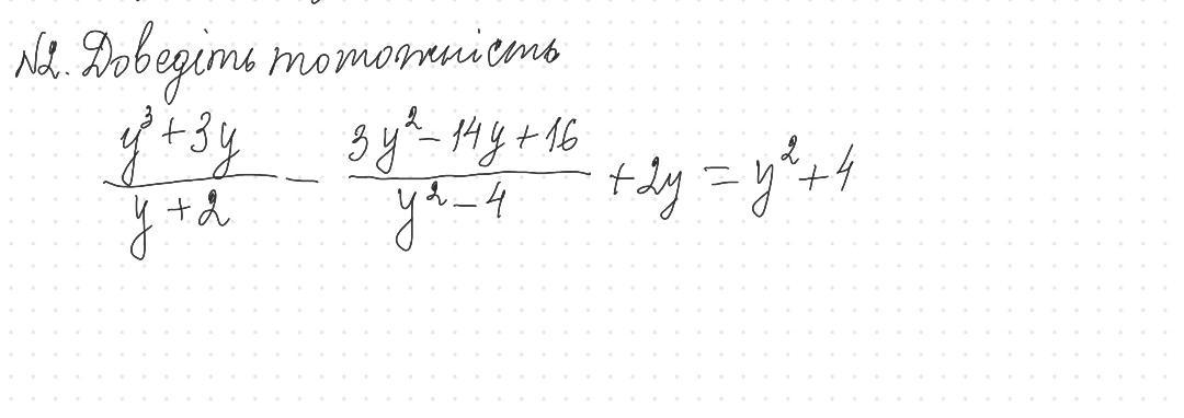
помогите пожалуйста решить тотожность уравнения, даю 40 балов

Приложения:

Ответы

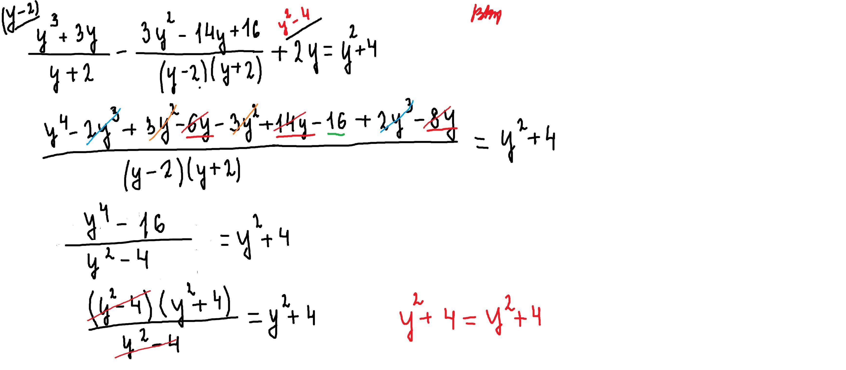
Ответ дал: parus77
1

Ответ:

Объяснение:

решение внизу

Приложения:

sashaaazxxcc070: спасибо
Вас заинтересует