• Предмет: Информатика
  • Автор: lolika14789
  • Вопрос задан 2 года назад

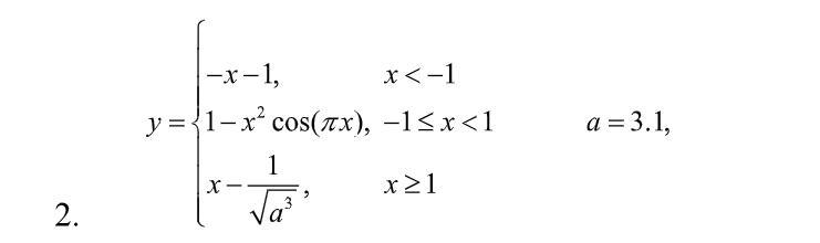
Обчислити і вивести на екран значення
функції y (С++)

Приложения:

Ответы

Ответ дал: zlatakalush
0

Відповідь:

Пояснення:

131

Вас заинтересует