• Предмет: Алгебра
  • Автор: mmaslov222
  • Вопрос задан 2 года назад

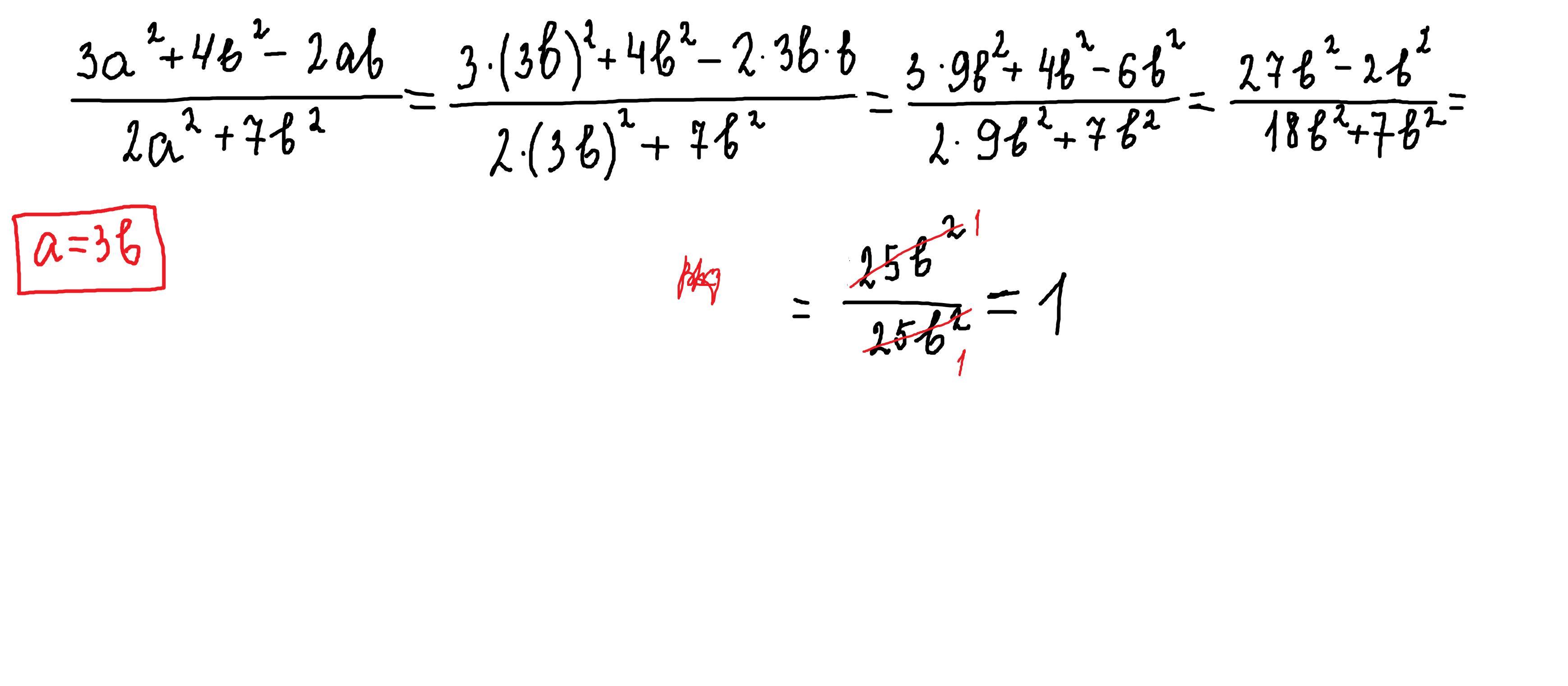
Решите пример только ответ.
Не пишите ответы с неправильным ответом, они будут автоматически удалены

Приложения:

Ответы

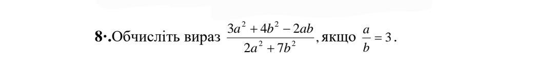
Ответ дал: parus77
1

Ответ:

1

Объяснение:

можно попробовать так

если а/в=3   то а=3в

Приложения:

mmaslov222: Спасибо вы лучшая!
Вас заинтересует