• Предмет: Алгебра
  • Автор: allynes
  • Вопрос задан 2 года назад

Срочно!!!! Даю 25 баллов!!​

Приложения:

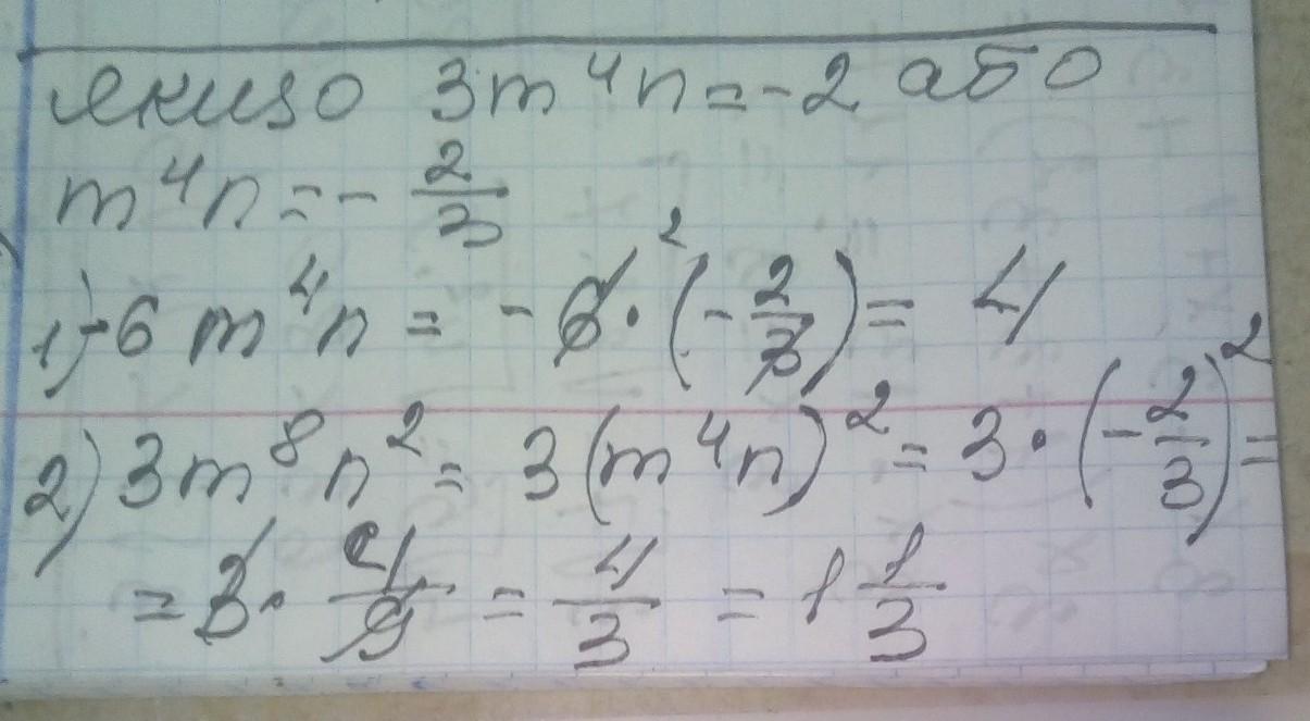
Ответы

Ответ дал: manyny06
1

Ответ:

решение смотри на фотографии

Приложения:
Вас заинтересует