• Предмет: Математика
  • Автор: lod773528
  • Вопрос задан 2 года назад

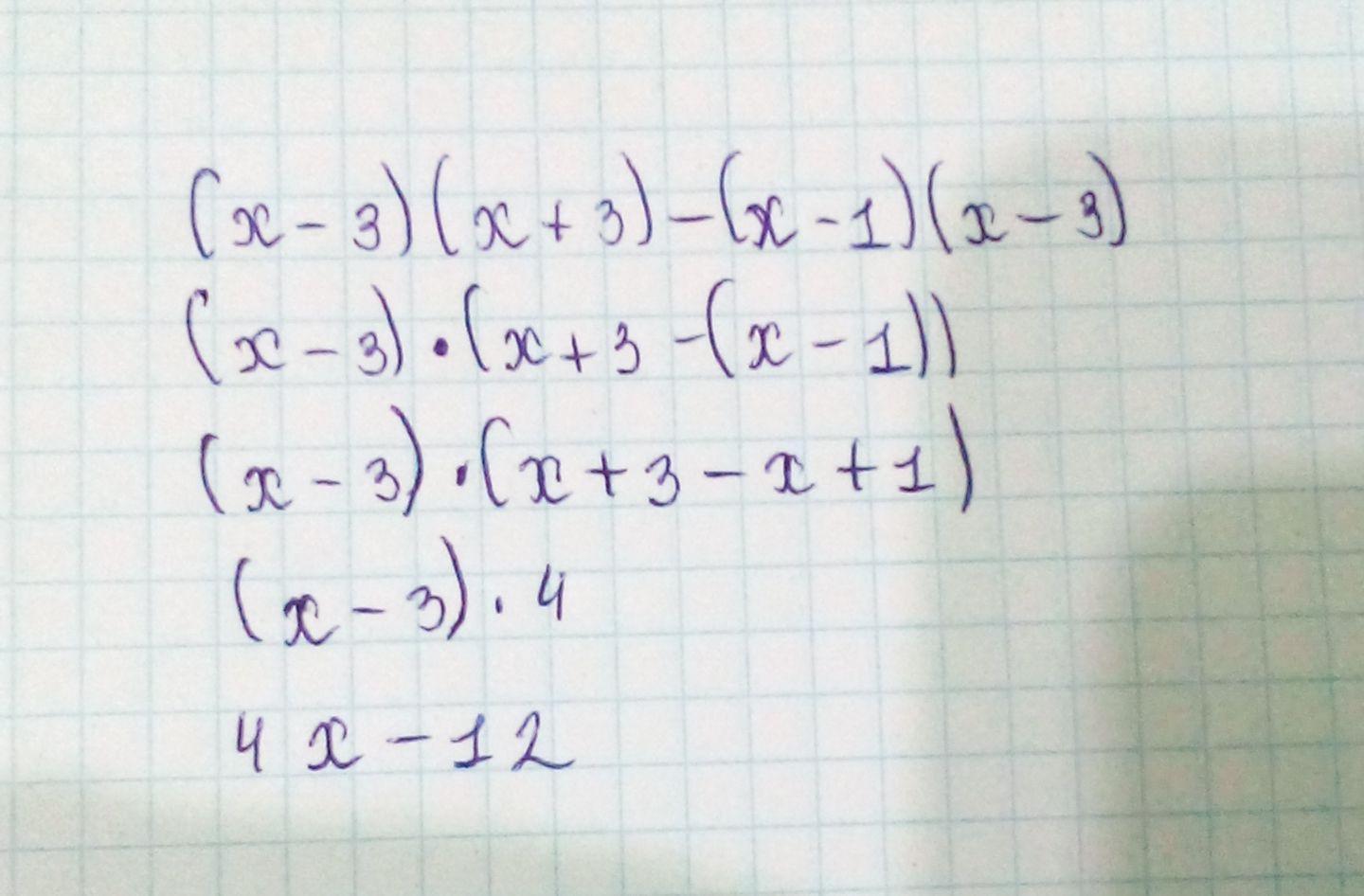
(х-3)(х+3)-(х-1)(х-3)​

Ответы

Ответ дал: hulkarahmedova9
1

Привет вот ответ на твой вопрос

Приложения:
Ответ дал: lada1750vradii
1

Ответ:-6+4x

Пошаговое объяснение:
1 сначала открываем дужки
x*x+x*3-3*x-3*3-(x*x-x*3-1*x+1*3)
2 умножаем =x ²+3x-3x-9-x²+3x+1x-3
3 хз как объяснить = -6+4x

Вас заинтересует