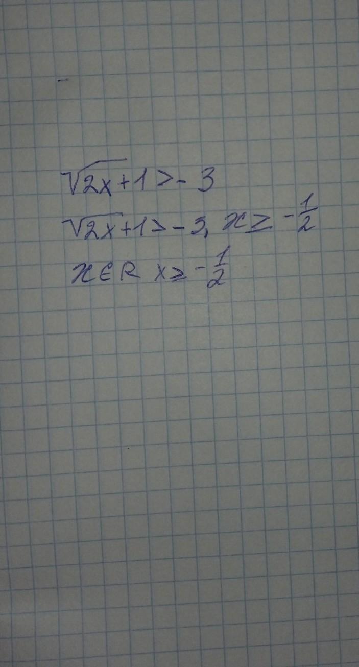
1.√2х+1 > -3
решить неравенство
срочно пожалуйста (желательно сфотографировать решение и ответ)
Приложения:

Ответы
Ответ дал:
0
На фото<( ̄︶ ̄)><( ̄︶ ̄)><( ̄︶ ̄)>^_________^
Приложения:

dmitriyNovgochenko:
это линейное неравенство еще рисунок должен быть и решение другое типо
Вас заинтересует
1 год назад
1 год назад
1 год назад
3 года назад
3 года назад