• Предмет: Физика
  • Автор: CubicMonster4
  • Вопрос задан 2 года назад

Срочно, помогите решить задачу по физике, пожалуйста ​

Приложения:

Ответы

Ответ дал: Pystotaa
1

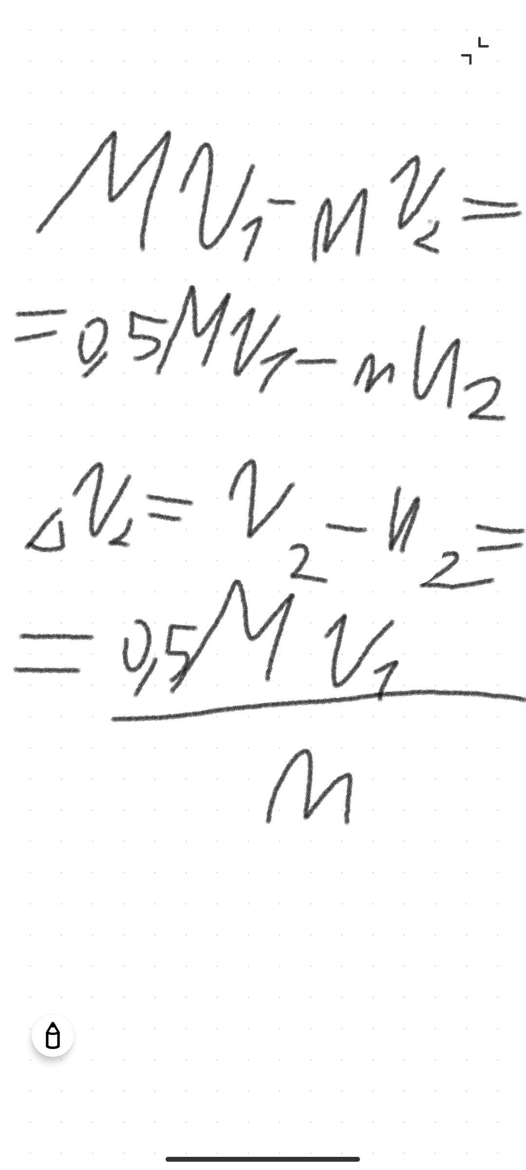
Запишем ЗСИ с учётом знака скорости в проекцию на ось х.

Во втором действии перенесём неизвестные величины влево и вынесем массу пули.

Подставляя значения, получаем: 0,5*2*2/0,01=200 м/с - модуль изменения скорости пули

Ответ: 200 м/

Приложения:

CubicMonster4: Спасибо!)
Вас заинтересует