• Предмет: Алгебра
  • Автор: petrovapetr441
  • Вопрос задан 2 года назад

Срочно. Дам 20 баллов. Представте у вигляді квадрата та куба одночлена: ​

Приложения:

Ответы

Ответ дал: manyny06
1

Ответ:

решение смотри на фотографии

Приложения:
Ответ дал: erkebulangaziz81
1

Объяснение:

1)

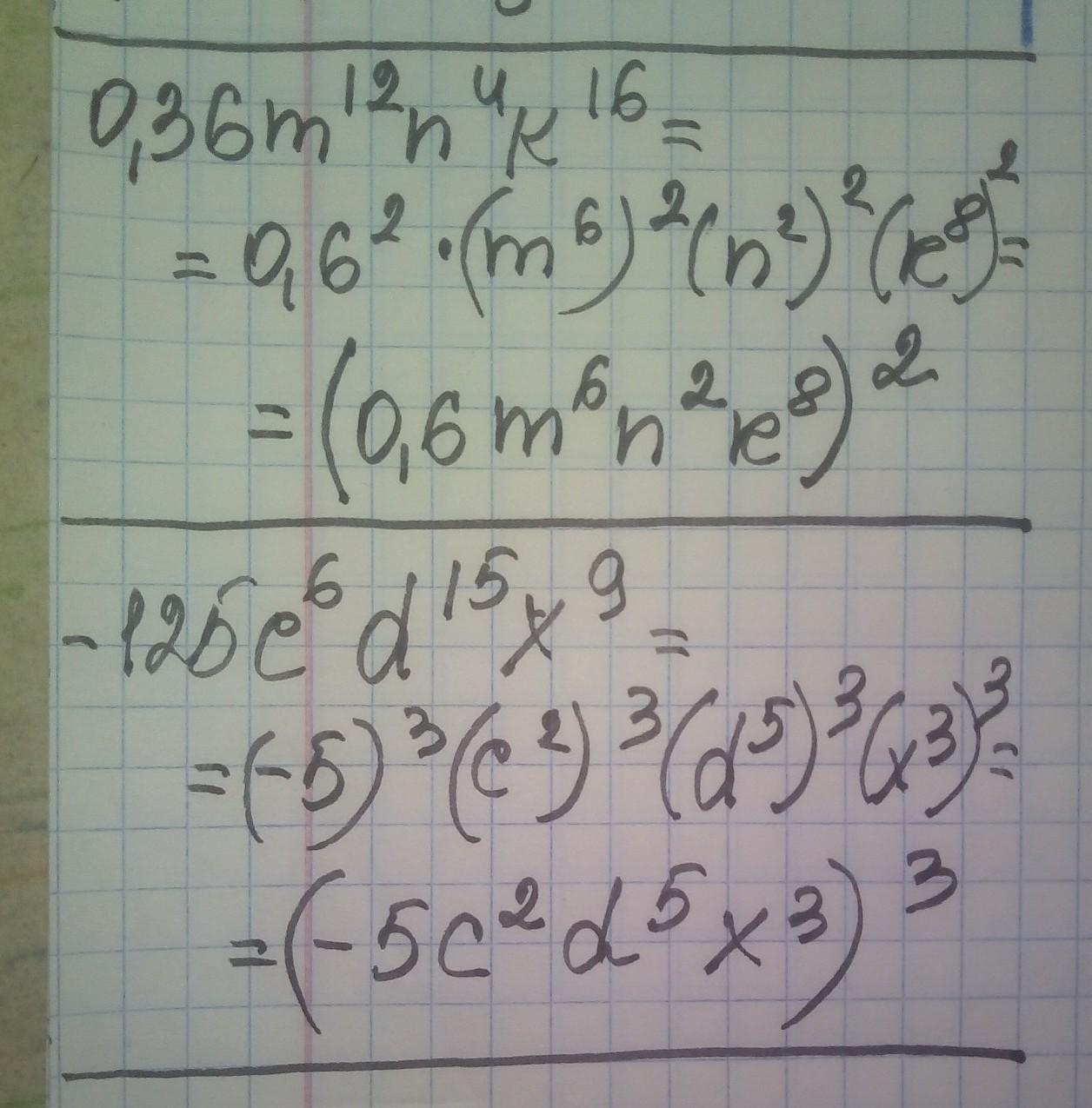
0.36m¹²n⁴k¹⁶ = ( 0.6m⁶n²k⁸)²

1)

- 125c⁶d¹⁵x⁹ = ( -5c²d⁵x³)³


petrovapetr441: спасибо большое!
Вас заинтересует