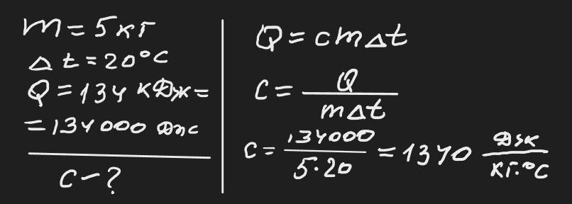
Визначте питому теплоємність речовини, якщо для нагрівання 5кг цієї речовини на 20 градусів необхідна кількість теплоти 134кДж.
Ответы
Ответ дал:
1
Відповідь: 1340 Дж/(кг·⁰С)
Пояснення:
Приложения:

Аноним:
привет,помоги решить задачки я выставил пожалуйста
Вас заинтересует
1 год назад
1 год назад
1 год назад
3 года назад
3 года назад
8 лет назад