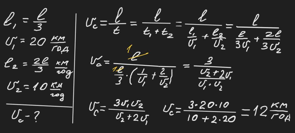
Третину шляху людина їхала на велосипеді зі швидкістю 20км/год, а решту бігла зі швидкістю 10км/год. Яка середня швидкість на всьому шляху
Задача високого рівню
Ответы
Ответ дал:
1
Відповідь: 12 км/год
Пояснення:
Приложения:

maksimazarov09:
Можешь помочь с презентацией по биологии пожалуйста, даю 100 баллов
Вас заинтересует
1 год назад
1 год назад
1 год назад
3 года назад