Ответы
Ответ дал:
0
Ответ:
решение смотри на фотографии
Приложения:

Ответ дал:
0
Ответ:
385
Пошаговое объяснение:
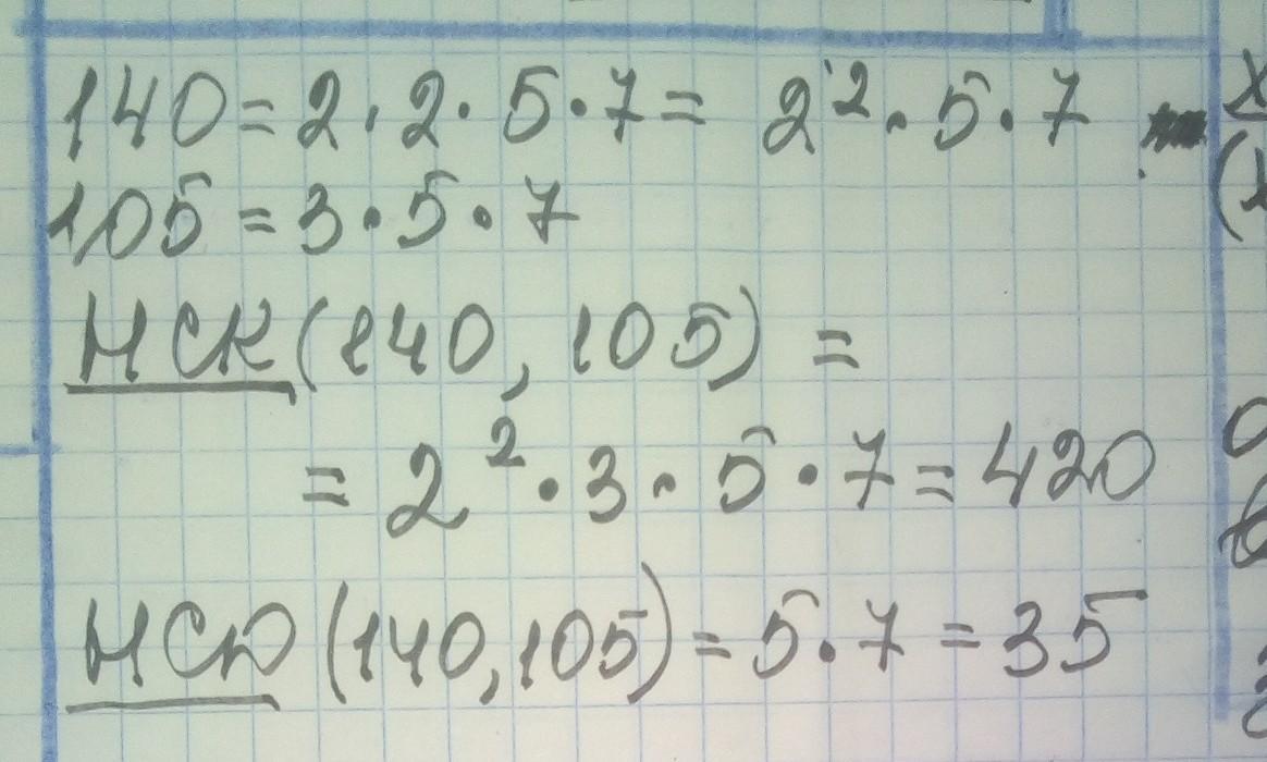
НСК (140; 105) = 420
140 = 2 * 2 * 5 * 7
105 = 3 * 5 * 7
НСК (140; 105) = 2 * 2 * 5 * 7 * 3 = 420
НСД = (140; 105) = 35
140 = 2 * 2 * 5 * 7
105 = 3 * 5 * 7
НСД (140; 105) = 5 * 7 = 35
420 - 35 = 385
Вас заинтересует
1 год назад
1 год назад
1 год назад
3 года назад
8 лет назад