• Предмет: Алгебра
  • Автор: kirillkir3118
  • Вопрос задан 2 года назад

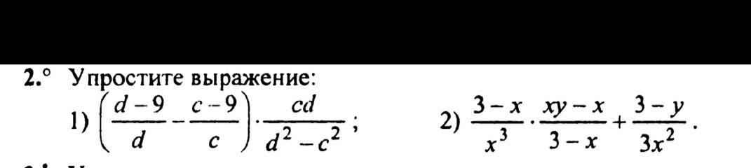
Решите задание на фото

Приложения:

Ответы

Ответ дал: manyny06
1

Ответ:

решение смотри на фотографии

Приложения:
Вас заинтересует