Ответы
Ответ дал:
1
Ответ:
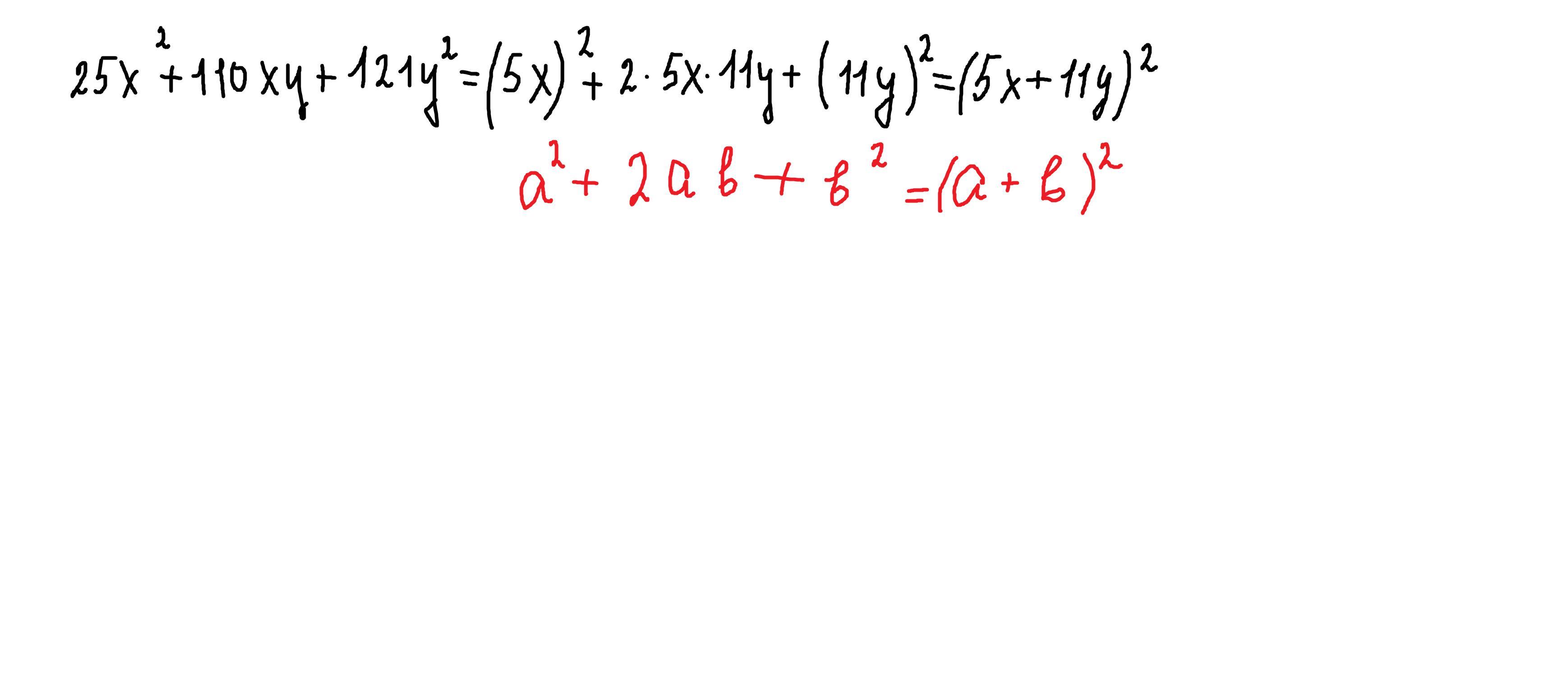
25x²+110xy+121y²
5²x²+2*5x11y+11²y²
(5x)²+2*5x11y+(11y)²
(5x+11y)²
Ответ дал:
0
Ответ:
(5х+11у)²
Пошаговое объяснение:
решение внизу
Приложения:

Вас заинтересует
1 год назад
1 год назад
1 год назад
3 года назад
3 года назад
8 лет назад