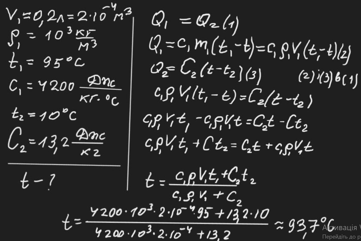
Розписати дано, формули й ришення задачи.
У чашку налили 0,2 л води при температурі 95 градусів. Якою буде температура води в чашці після встановлення теплової рівноваги, якщо температура чашки була 10 градусів, а теплоємність чашки: 13,2 Дж/кг?
Ответы
Ответ дал:
1
Відповідь: 93,7 ⁰С
Пояснення:
Приложения:

Вас заинтересует
1 год назад
1 год назад
1 год назад
8 лет назад