• Предмет: Математика
  • Автор: wellnikarcanh
  • Вопрос задан 2 года назад

Фото, допоможіть будь ласка!!! Терміново

Приложения:

Ответы

Ответ дал: Spionner
1

Ответ:

в объяснении

Пошаговое объяснение:

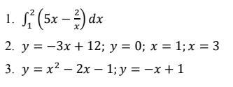
1. \int\limits^2_1 {5x-\frac{2}{x} } \, dx=\frac{5}{2}2^{2}+2ln(2)-\frac{5}{2}1^{2}+2ln(1)=10+2ln(2)-2.5+0=7.5+2ln(2)

2. y = -3x + 12; y = 0; x = 1; x = 3

2.1) 0 = -3x + 12

3x = 12

x = 4

2.2) y = -3*1+12 = -3 + 12 = 9

2.3) y = -3*3+12 = -9+12 = 3

3. y =x^2-2x-1; y = -x+1

x^2-2x-1 = -x+1

x^2-2x-1+x-1=0

x^2-x-2=0

D = b^2 - 4*a*c = 1 + 4*2*1 = 9

x1 = \frac{1+3}{2} =2

x2 = \frac{1-3}{2}=-1

Вас заинтересует