• Предмет: Математика
  • Автор: daqua998
  • Вопрос задан 2 года назад

Практична робота на тему "Екстремуми функцій кількох змінних"

Приложения:

Ответы

Ответ дал: talayts
1

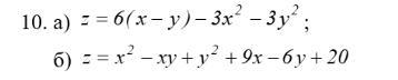
а) z = 6 (x - y ) - 3x^{2}  - 3y^{2}

Потрібно помножити кожний доданок у дужках на 6:

z = 6x - 6y - 3x^{2}  - 3y^{2}

Обчислюємо:

z = 6x - 6y - 3x^{2} - 3y^{2}

б) Виконується так:

z=x²-xy+y²+9x-6y+20

∂z:∂x=2x-y+9

∂z:∂y=-x+2y-6

2x-y+9=0

-x+2y-6=0

2x-y+9=0

3y-3=0 => y=1, x=-4

∂²z:∂x²=2=A

∂²z:∂x∂y=0=B

∂²z:∂y²=2=C

Δ=AC-B²=4 > 0, A > 0

Zmin(-4;1)=16+4+1-36-6+20=-1

Вас заинтересует