• Предмет: Математика
  • Автор: hillalexandro
  • Вопрос задан 2 года назад

Прошу помощи. ..... ​

Приложения:

gigi53586: 4,5,6?
hillalexandro: да
gigi53586: хорошо, сейчас все будет

Ответы

Ответ дал: iramazurk
0

Пошаговое объяснение:

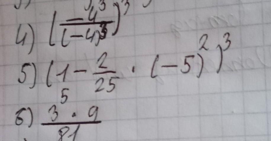
4)

( (-4³)/(-4)³ )³ = ( (-64)/(-64) )³ = (1/1)³ = 1

5)

1) 2/25 * (-5)² = 2/25 * 25 = 50/25 = 2

2) 1 - 2 = -1

3) (-1)³ = -1

6)

(3⁵ * 9)/81 = (3⁵ * 3²)/3⁴ = 3⁷/3⁴ = 3³ = 27

Ответ дал: damchess09
0

Ответ:

Пошаговое объяснение:

1 (-4³ / (-4)³)³ = (-64 / -64)³ = (1)³ = 1

2) 1 - 2/25 * (-5)² = 1 - 2/25 * 25 = 1 * 2 = 2

3) 3⁵ * 9 / 81 = (3⁵ * 3²) / 3⁴ = 3⁷ / 3⁴ = 3³ = 27

Вас заинтересует