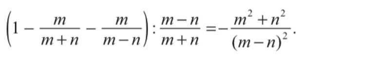
(1- m/m+n - m/m-n):m-n/m+n=-m²+n²/(m-n)²
прикрепила фото если что то не понятно, помогите пожалуйста нужно сегодня здать, даю 70 балов
Приложения:

Ответы
Ответ дал:
0
Ответ:
решение смотри на фотографии
Приложения:

Вас заинтересует
1 год назад
1 год назад
1 год назад
3 года назад
3 года назад
8 лет назад