• Предмет: Математика
  • Автор: trio7777777y
  • Вопрос задан 2 года назад

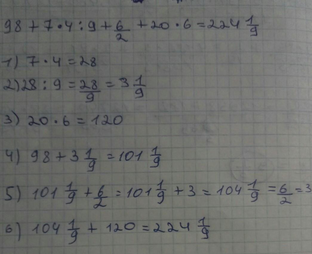
98+7×4:9+6/2+20×6 помогите пжпжжпжпдп даю 30 балов ​

Ответы

Ответ дал: lolich112
1

Решение на фотографии.

Приложения:

trio7777777y: спасибо большое лучший
Вас заинтересует