• Предмет: Математика
  • Автор: slava20112022
  • Вопрос задан 2 года назад

знайди частини числа 90 у відношенні 7:3​

Ответы

Ответ дал: iramazurk
4

Пошаговое объяснение:

1) 7 + 3 = 10 (частей) - всего

2) 90 : 10 = 9 - равна одна часть

3) 9 * 7 = 63 - первое число

4) 9 * 3 = 27 - второе число

63 + 27 = 90

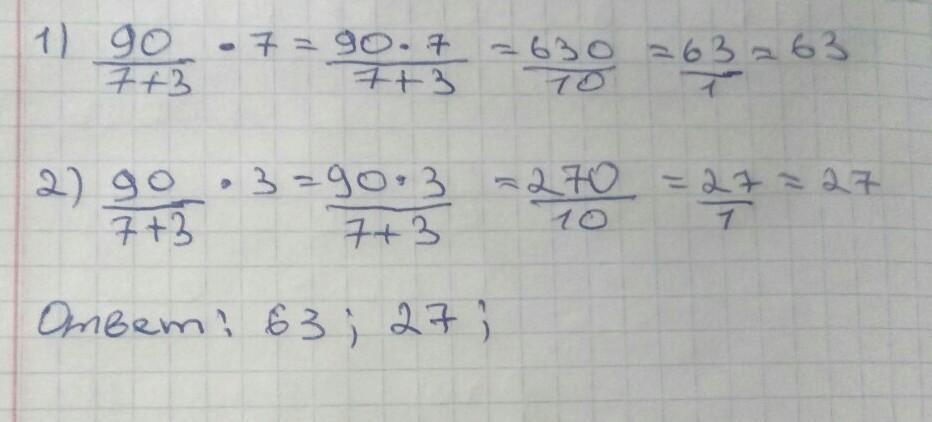
Ответ дал: lolich112
8

Решение на фотографии.

Приложения:
Вас заинтересует