• Предмет: Алгебра
  • Автор: paulinasvetlana1
  • Вопрос задан 2 года назад

допоможіть будь ласка логорифм​

Приложения:

Ответы

Ответ дал: himikomat
1

Ответ:

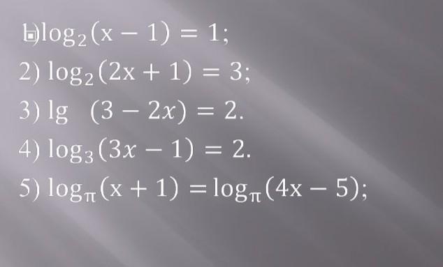
1)

 log_{2}(x - 1)  = 1

x - 1 \leqslant 0

x \leqslant 1

 log_{2}(x - 1)  = 1.x > 1

x - 1 =  {2}^{1}

x - 1 = 2

x = 2 + 1

x = 3.x > 1

x = 3

2)

 log_{2}(2x + 1)  = 3

2x + 1 \leqslant 0

x \leqslant  -  \frac{1}{2}

 log_{2}(2x + 1)  = 3.x >  -  \frac{1}{2}

2x + 1 =  {2}^{3}

2x + 1 = 8

2x = 8 - 1

2x = 7

делим обе стороны уравнения на 2:

x =  \frac{7}{2} .x >  -  \frac{1}{2}

x =  \frac{7}{2}

3)

lg(3 - 2x) = 2

3 - 2x \leqslant 0

x \geqslant  \frac{3}{2}

lg(3 - 2x) = 2.x <  \frac{3}{2}

3 - 2x = lg ^{2}

3 - 2x = 100

 - 2x = 100 - 3

 - 2x = 97

делим обе стороны уравнения на -2:

x =  -  \frac{97}{2} .x <  \frac{3}{2}

x =  -  \frac{97}{2}

4)

 log_{3}(3x - 1)  = 2

3x - 1 \leqslant 0

x \leqslant  \frac{1}{3}

 log_{3}(3x - 1)  = 2.x >  \frac{1}{3}

3x - 1 =  {3}^{2}

3x - 1 = 9

3x = 9 + 1

3x = 10

делим обе стороны уравнения на 3:

x =  \frac{10}{3} .x >  \frac{1}{3}

x =  \frac{10}{3}

5)

 log_{\pi}(x + 1)  =  log_{\pi}(4x - 5)

x + 1 \leqslant 0 \\ 4x - 5 \leqslant 0

x \leqslant  - 1 \\ x \leqslant  \frac{5}{4}

x∈< -  \infty . \frac{5}{4} ]

 log_{\pi}(x + 1)  =  log_{\pi}(4x - 5) .x∈ <  \frac{5}{4} . +  \infty  >

x + 1 = 4x - 5

x - 4x =  - 5 - 1

 - 3x =  - 6

делим обе стороны уравнения на -3:

x = 2.x∈< \frac{5}{4} . +  \infty  >

x = 2


himikomat: Відзнач як найкращу відповідь будь ласка:)
paulinasvetlana1: дякую Вам. дуже вдячна
Вас заинтересует