• Предмет: Физика
  • Автор: annacornovol63
  • Вопрос задан 2 года назад

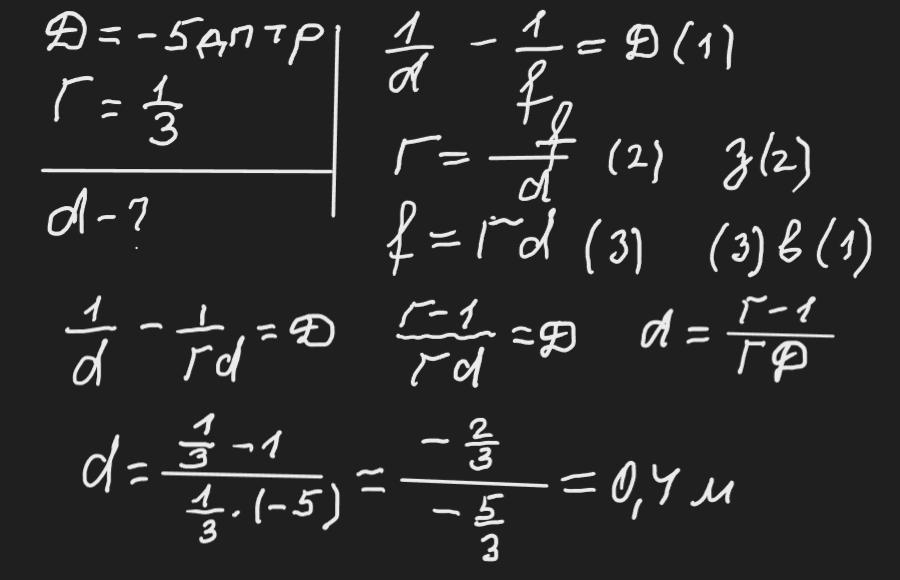
Лінза з оптичною силою -5 дптр дає зображення предмета, зменшене втричі. Визначіть відстань між лінзою та предметом. Даю 100 балов

Ответы

Ответ дал: zybkov1950
2

Відповідь: 40 см

Пояснення:

Приложения:

annacornovol63: Спасибо большое!
Вас заинтересует