Даю 50 баллов!
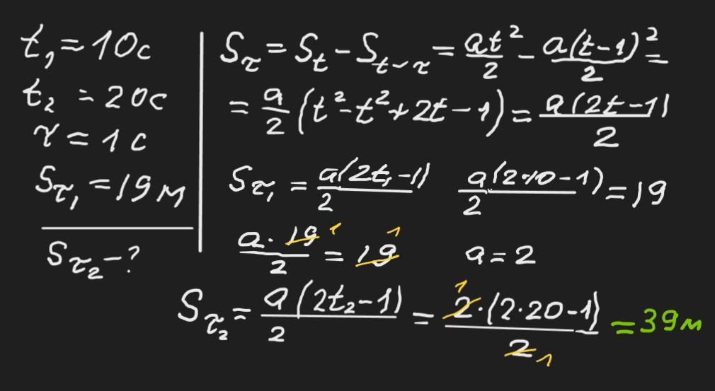
Під час рівноприскореного руху зі стану спокою тіло за десяту секунду пройшло відстань 19 м. Яку відстань пройде тіло за двадцяту секунду?
БАЖАНО СКИНУТИ РОЗПИСАНО НА ЛИСТКУ
Ответы
Ответ дал:
1
Відповідь: 39 м
Пояснення:
Приложения:

Вас заинтересует
1 год назад
1 год назад
1 год назад
3 года назад
3 года назад
8 лет назад