• Предмет: Алгебра
  • Автор: alonashylova11
  • Вопрос задан 2 года назад

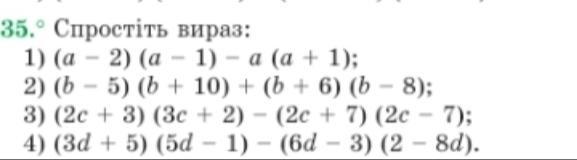
Допоможіть зробити завдання на фото , будьласка

Приложения:

Ответы

Ответ дал: romadubenska
0

Ответ:

не факт , що правильно номер 35

Приложения:
Вас заинтересует