Ответы
Ответ дал:
0
1) ![sqrt{3 sqrt[3]{18} } sqrt[6]{96} = sqrt[6]{18*3^3*96} = sqrt[6]{2*3^2*3^3*2^5*3}= \ \=sqrt[6]{2^6*3^6}=2*3=6 sqrt{3 sqrt[3]{18} } sqrt[6]{96} = sqrt[6]{18*3^3*96} = sqrt[6]{2*3^2*3^3*2^5*3}= \ \=sqrt[6]{2^6*3^6}=2*3=6](https://tex.z-dn.net/?f=+sqrt%7B3+sqrt%5B3%5D%7B18%7D+%7D+sqrt%5B6%5D%7B96%7D++%3D+sqrt%5B6%5D%7B18%2A3%5E3%2A96%7D+%3D+sqrt%5B6%5D%7B2%2A3%5E2%2A3%5E3%2A2%5E5%2A3%7D%3D++%5C+%5C%3Dsqrt%5B6%5D%7B2%5E6%2A3%5E6%7D%3D2%2A3%3D6+++)
=============================================================
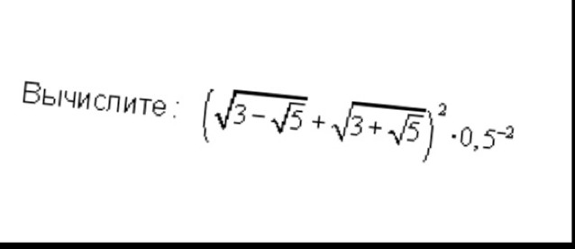
2)
=============================================================
3)
=============================================================
2)
=============================================================
3)
Вас заинтересует
3 года назад
8 лет назад
11 лет назад
11 лет назад