• Предмет: Математика
  • Автор: proxinavalintina
  • Вопрос задан 2 года назад

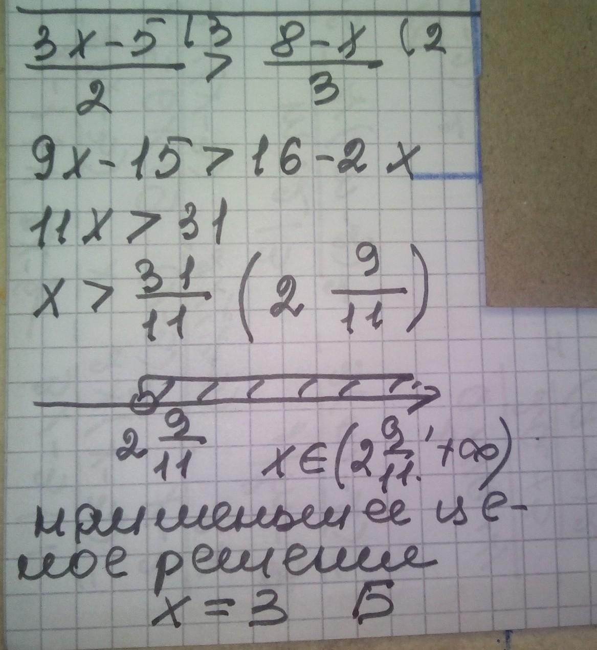
Найдите наймение целое решение неравенства.​

Приложения:

Ответы

Ответ дал: manyny06
1

Ответ:

решение смотри на фотографии

Приложения:
Вас заинтересует