• Предмет: Геометрия
  • Автор: Reblin
  • Вопрос задан 2 года назад

Помогите пожалуйста даю 55 баллов

Приложения:

Ответы

Ответ дал: LFP
1

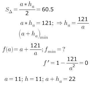
Ответ: 22

решение в файле...

Приложения:
Вас заинтересует