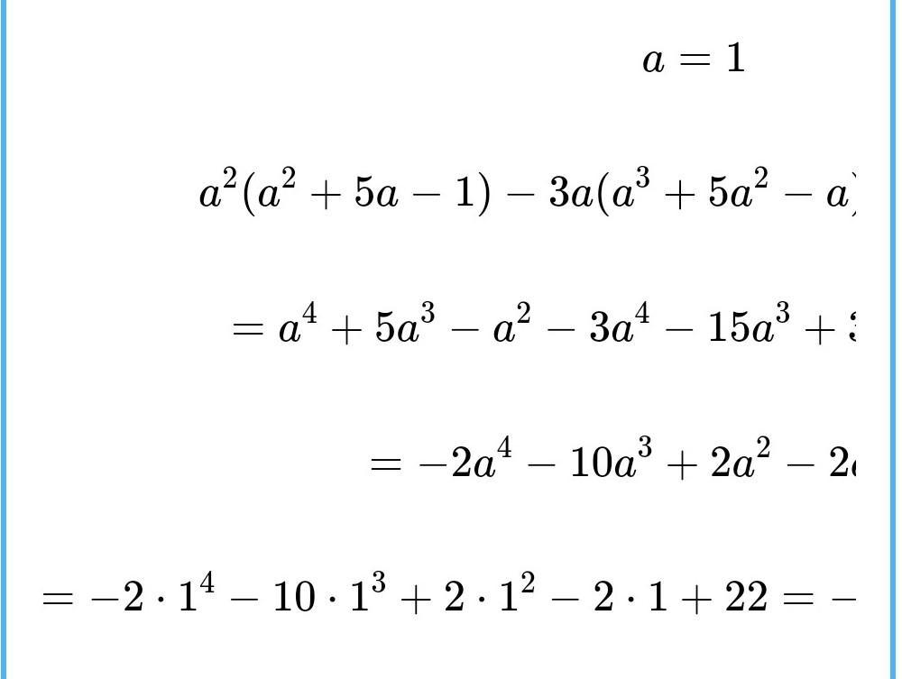
3*. Спростити вираз і знайти його значення:
a²(a²+5a-1)- 3a(a3 + 5a² - a) +2+ 20 - 2а, якщо а=1
ДАЮ 50 БАЛЛОВ СРОЧНО
Ответы
Ответ дал:
1
Ответ: 10 .
Раскроем скобки, приведём подобные члены и подставим вместо а число 1 , вычислим значение выражения .
sasha234754:
Спасибо вам большое
Ответ дал:
0
Ответ:
Вот ответ............................
Приложения:

Вас заинтересует
1 год назад
1 год назад
1 год назад
3 года назад