• Предмет: Математика
  • Автор: offo2754
  • Вопрос задан 2 года назад

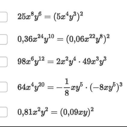
СРОЧНО, 8 КЛАСС, ЛЕГКО

Приложения:

Ответы

Ответ дал: brawlstars02573569
1

Ответ:

+, -, -, +, +. Обращайся.

Ответ дал: yana3388
0
64…. І так дальше кр правильно 4
Приложения:
Вас заинтересует