• Предмет: Алгебра
  • Автор: mariayu13
  • Вопрос задан 2 года назад


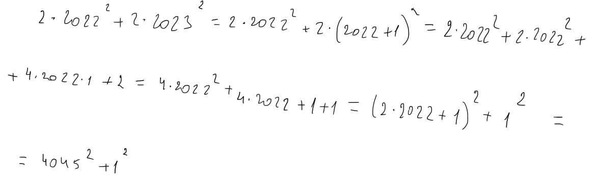
2 \times  {2022}^{2}  + 2 \times  {2023}^{2}
представьте в виде суммы квадратов двух натуральных чисел​

Ответы

Ответ дал: Warlock1
2

Ответ:

может так

Объяснение:

Приложения:
Вас заинтересует