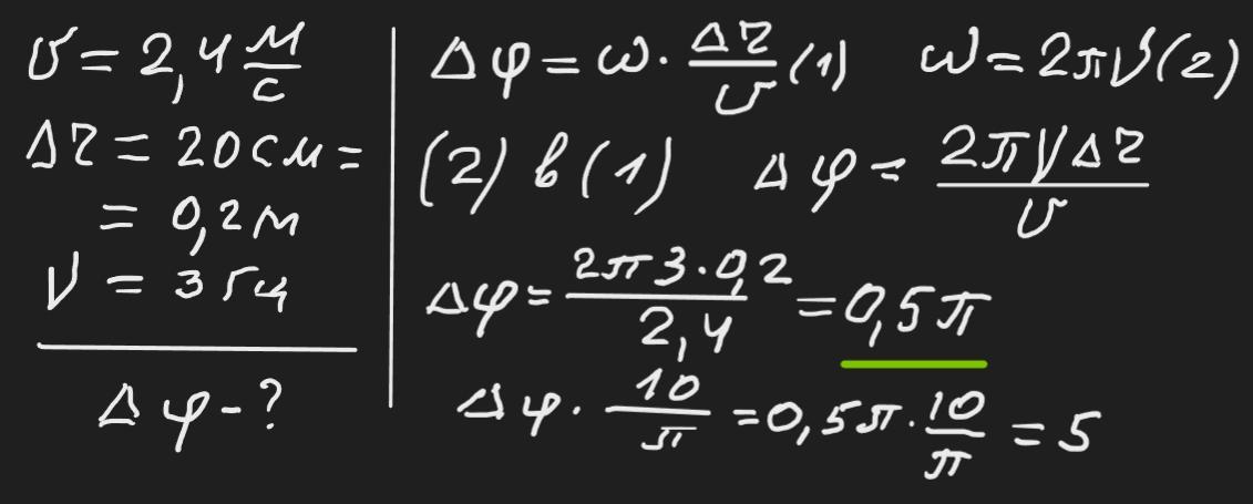
Хвиля поширюється зі швидкістю 2,4 м/с. Чому дорівнює різниця фаз Δφ в двох точках, віддалених один від одного на 20 см, якщо частота коливань 3Гц?
Волна распространяется на скорости 2,4 м/с. Чему равна разность фаз Δφ в двух точках, удаленных друг от друга на 20 см, если частота колебаний 3Гц?
Приложения:

Ответы
Ответ дал:
1
Відповідь: 5
Пояснення:
Приложения:

denisninja28:
Если вам не трудно можете решить еще одно мое задание,пожалуйста
Вас заинтересует
1 год назад
1 год назад
1 год назад
1 год назад
3 года назад
3 года назад