Ответы
Ответ дал:
0
Ответ:
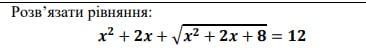
Пошаговое объяснение:1) (корінь третього степіня з а у квадраті - корінь третього степіня з аб + корінь третього степіня з б у квадраті)/а+б
Приложения:



geekpizza1:
можете пожалуйста написать на листике, если не трудно?
Вас заинтересует
1 год назад
1 год назад
1 год назад
3 года назад
3 года назад
8 лет назад
8 лет назад