• Предмет: Математика
  • Автор: toha09821
  • Вопрос задан 2 года назад

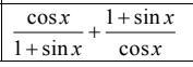
ОЧЕНЬ СРОЧНО ПОМОГИТЕ ЕСТЬ 10 МИНУТ!!!

Приложения:

Ответы

Ответ дал: azadagayev02
0

Ответ:там только 2 формулы

и 1 (a+b)*2

Приложения:
Вас заинтересует