• Предмет: Алгебра
  • Автор: ktotoph
  • Вопрос задан 2 года назад

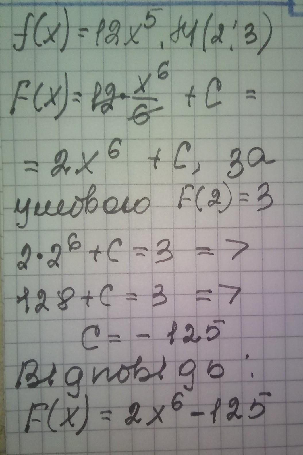
знайти первісну функцію f(x) =12x^5 графік якої проходить через точку М(2;3)​

Ответы

Ответ дал: manyny06
2

Ответ:

решение смотри на фотографии

Приложения:

abby7692: Здравствуйте!Можете пожалуйста помочь с уравнения,очень надо
Вас заинтересует