Ответы
Ответ дал:
1
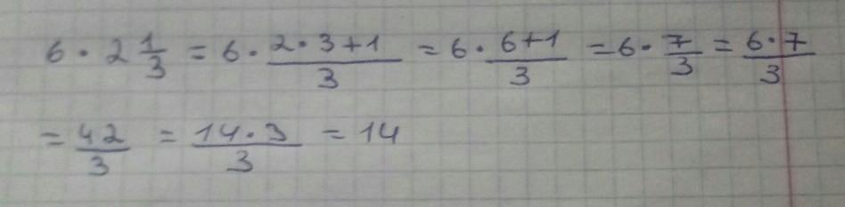
Решение на фотографии.
Приложения:

lolich112:
Сделайте лучшим ответом, я буду очень рад :)
Ответ дал:
0
Ответ:
Пошаговое объяснение:
Вас заинтересует
1 год назад
1 год назад
1 год назад
1 год назад
3 года назад
3 года назад
8 лет назад