Задача
Ідеальна теплова машина працює за циклом Карно. При
цьому 80 % теплоти, яку отримує машина від нагрівача, передаєть-
ся холодильнику. Машина отримує від нагрівача 6,28 кДж теплоти.
Знайти ККД циклу та роботу, яку виконує машина за один цикл.
Ответы
Ответ дал:
1
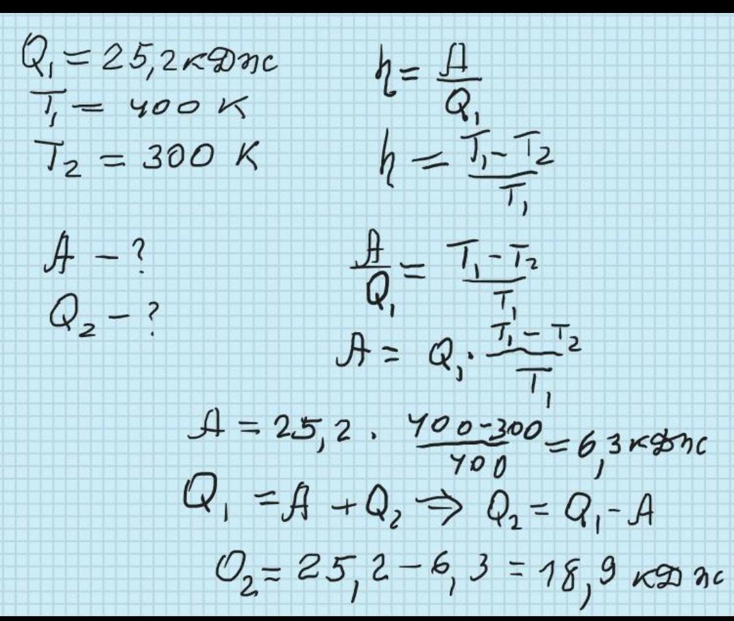
Ответ:
6,3 кДж 18,9 кДж
Объяснение:
надіюся допомогла❤️
Приложения:

Вас заинтересует
1 год назад
1 год назад
1 год назад
3 года назад
8 лет назад