• Предмет: Алгебра
  • Автор: cryptorena0
  • Вопрос задан 2 года назад

Фото, Алгебра Минусы и косинусы

Приложения:

cryptorena0: Жаркий Павел

Ответы

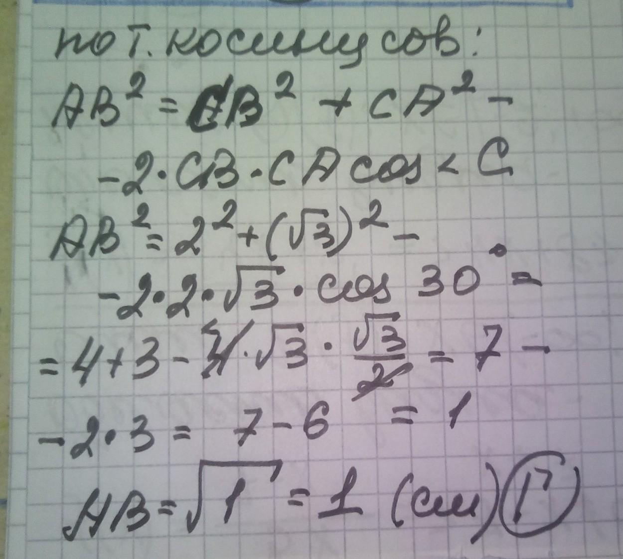
Ответ дал: manyny06
2

Ответ:

решение смотри на фотографии

Приложения:

abby7692: Помогите пожалуйста,очень надо
abby7692: Помогите пожалуйста очень надо
Вас заинтересует