Ответы
Ответ дал:
1
Ответ:
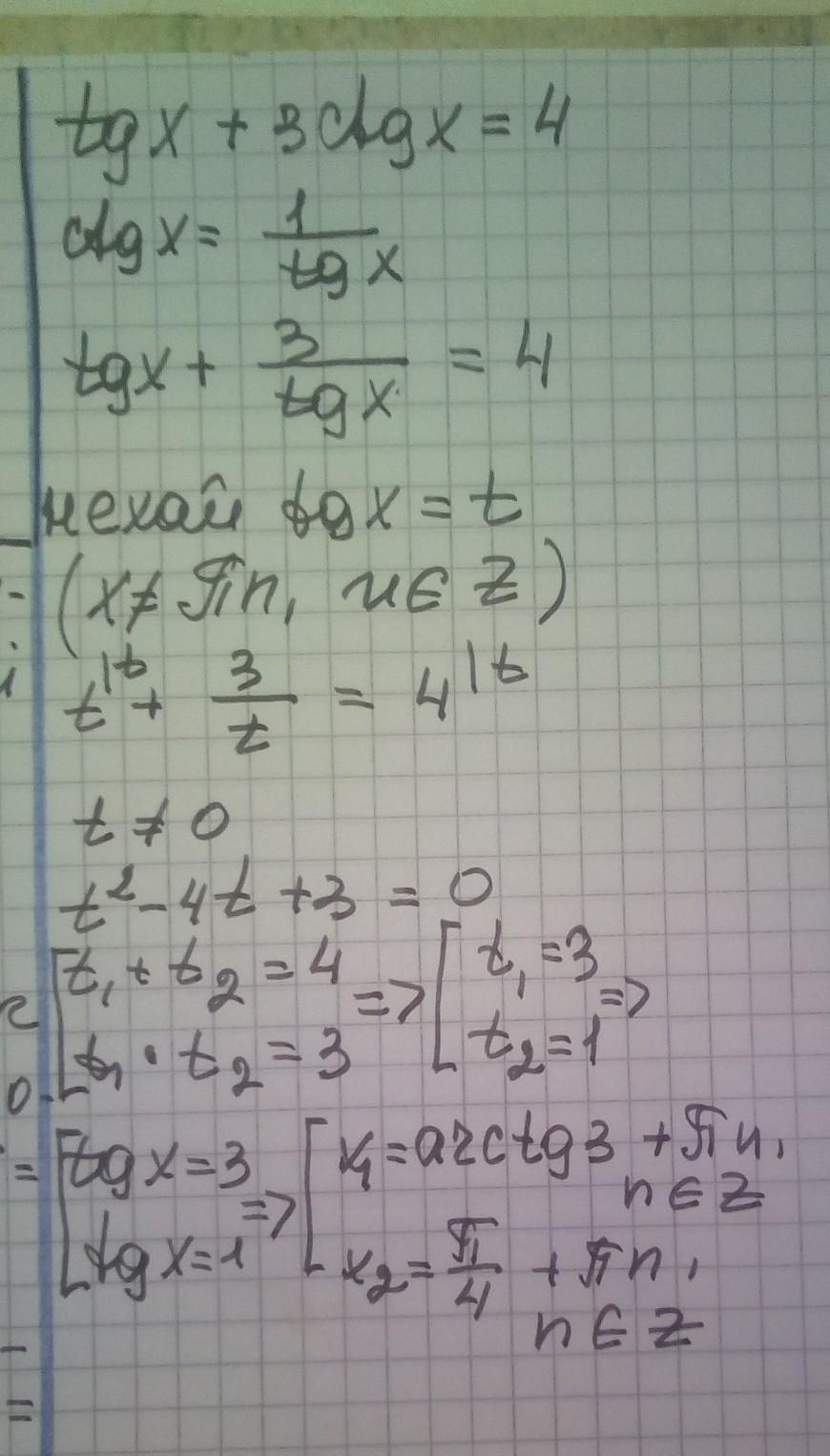
решение смотри на фотографии
Приложения:

sakyrasw:
спасибо! какой конечный результат?
Ответ дал:
1
Объяснение:
tgx+3ctgx=4 x≠kπ/2 ,k∈z
tgx+3ctgx-4=0
tgx+3•1/tgx -4=0
(tg²x+3-4tgx)/tgx=0
tg²x+3-4tgx=0
tgx=t
t²-4t+3=0
D=(-4)²-4•1•3=16-12=4
t1=(4-2)/2=1
t2=(4+2)/2=3
tgx=1 x=π/4+kπ,k∈z
tgx=3 x=arctg3+kπ,k∈z x≠kπ/2,k∈z
решение: х=π/4+kπ,k∈z
x=arctg3+kπ,k∈z
Вас заинтересует
1 год назад
1 год назад
3 года назад
3 года назад
8 лет назад
8 лет назад