• Предмет: Геометрия
  • Автор: wzxcvkowzx
  • Вопрос задан 2 года назад

Здравствуйте! Срочно нужна помощь! Вот задания с которыми у меня трудности: ​​
(Нужно решить 3, 4, 6, 7, 8)

Приложения:

parus77: фото очень нечеткое,можно сделать другое?
wzxcvkowzx: Фото таким и есть к сожалению. Сейчас напишу чтобы было видно
wzxcvkowzx: А теперь видно на новом фото?
parus77: можно отдельно фото 3 задания(там не видно степеней),остальные видно.
wzxcvkowzx: Ого, я и сам не вижу. Давайте тогда без 3 задания
parus77: применяй правила,если степени умножаются,то показатели складываются,если -делятся,то показатели вычитаются.
parus77: может напишешь прямо здесь например так Х6*Х4= или Х8:Х3=
wzxcvkowzx: Хорошо, спасибо вам за объяснение
wzxcvkowzx: Дело в том, что я и сам не вижу всех степеней в 3 задание

Ответы

Ответ дал: parus77
1

Ответ:

Объяснение:

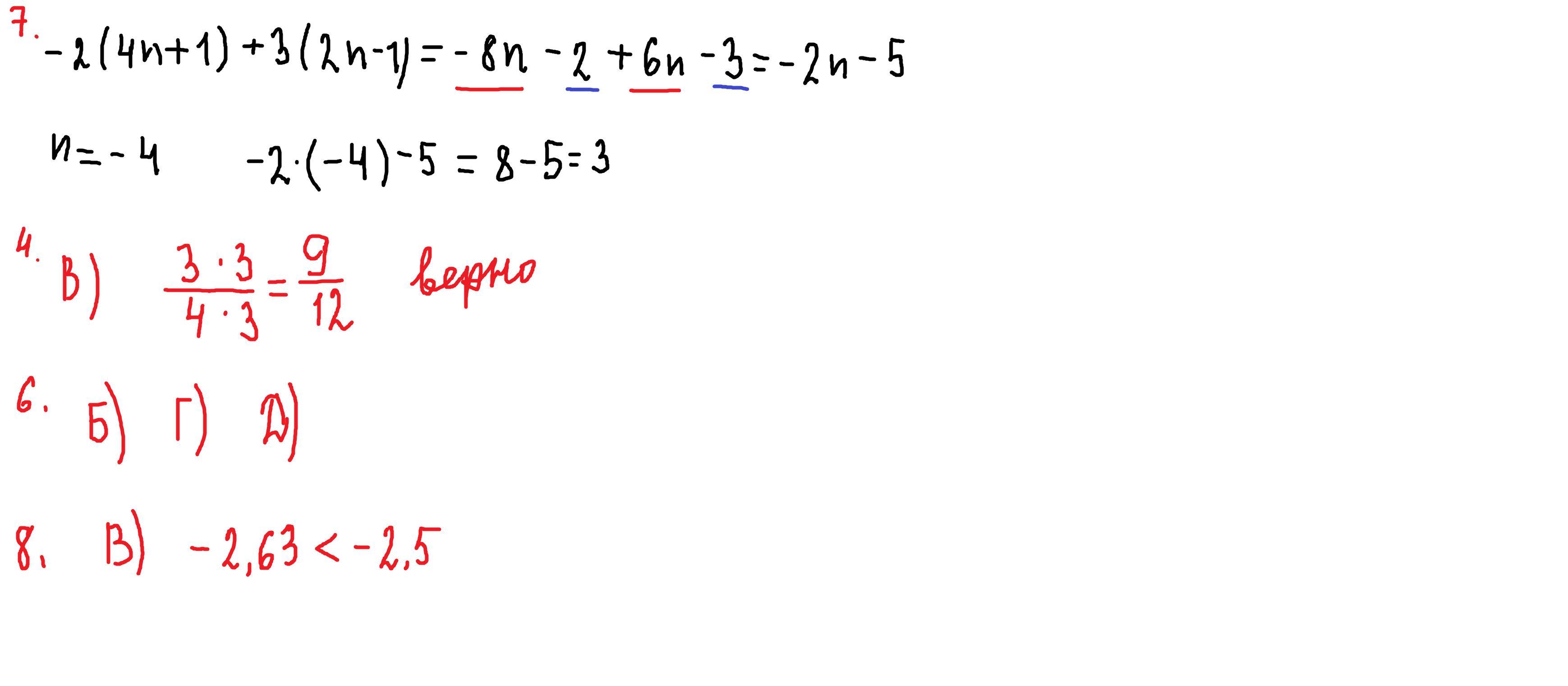
4. дробь не меняется,если числитель и знаменатель умножить на одно и тоже число.

6. прямой угол =90°

    развернутый угол=180°

острый угол меньше 90°

тупой угол больше 90° ,но меньше 180°

поэтому верные ответы внизу

7.решение внизу

8.чем левее лежит число,тем оно меньше,-2,63 лежит дальше чем -2,5  поэтому  -2,63 < -2,5

Приложения:

wzxcvkowzx: Большое вам спасибо
parus77: пожалуйста
Вас заинтересует